Login
Section Articles

Novel Coumarin–β-Thio Carbonyl Derivatives with Potent Antioxidant Activity

Vol. 2 No. 3 (2025): Desember:

Ali Mohammed Abdulhussein (1), Leaqaa Abdulredha Raheem (2), Maan Abdul-Razzaq Suwaid (3)

(1) Department of Pharmaceutical Chemistry, College of Pharmacy, University of Basrah, Basrah, Iraq
(2) Department of Pharmaceutical Chemistry, College of Pharmacy, University of Basrah, Basrah, Iraq
(3) Department of Pharmaceutical Chemistry, College of Pharmacy, University of Basrah, Basrah, Iraq
Fulltext View | Download

Abstract:

General Background: Antioxidants play a key role in mitigating oxidative stress–related disorders, driving interest in developing synthetic molecules with strong radical-scavenging capacity. Specific Background: Coumarin-based scaffolds exhibit diverse biological activities, yet limited studies have explored their β-thio carbonyl hybrids as potential antioxidant agents. Knowledge Gap: Despite the therapeutic promise of coumarin hybrids, their structure–activity relationships and antioxidant effectiveness remain underexplored. Aim: This study synthesized and characterized five novel coumarin–β-thio carbonyl derivatives and assessed their antioxidant potential using the DPPH assay. Results: Structural confirmation was achieved through ¹H-NMR, ¹³C-NMR, and mass spectrometry, verifying the successful formation of all compounds. Notably, compound 11 displayed the strongest radical-scavenging capacity (IC₅₀ = 17.89 μM), surpassing ascorbic acid (IC₅₀ = 23.04 μM). Novelty: This work provides the first comprehensive structural and biological evaluation of a new series of coumarin–β-thio carbonyl hybrids featuring various electron-donating and electron-withdrawing substituents. Implications: The findings highlight these derivatives, particularly dimethylamino-substituted analogues, as promising candidates for further development in antioxidant-based therapeutic applications.
Highlights:




  • Five new coumarin–β-thio carbonyl derivatives were successfully synthesized and validated.




  • Compound 11 exhibited the strongest radical-scavenging activity among all tested molecules.




  • Electron-donating substituents improved antioxidant performance.




Keywords: Coumarin Derivatives, β-Thio Carbonyl, Antioxidant Activity, DPPH Assay, Heterocyclic Synthesis

Introduction

Free radicals are produced in the body by several mechanisms. The equilibrium between free radicals and antioxidants is crucial for optimal physiological function. When free radicals exceed the body's capacity to regulate them, oxidative stress occurs. Antioxidants can aid in combating oxidative stress.

The importance and beneficial effects of antioxidants in maintaining human health have attracted significant attention, particularly regarding their potential role in the prevention and management of diseases and conditions associated with oxidative stress . Oxidative stress arises when the organism's natural defenses, whether enzymatic, non-enzymatic, or dietary, are surpassed by an excessive production of reactive oxygen species (ROS), leading to oxidative damage in cellular and extracellular macromolecules (proteins, lipids, and nucleic acids) and resulting in tissue injury .reactive oxygen species and associated oxidative stress significantly contribute to the pathogenesis of chronic degenerative illnesses, including neurological diseases, cancer, arteriosclerosis, malaria, rheumatoid arthritis, certain types of anemia, autoimmune diseases, aging, and diabetes. Antioxidants are seen as potential therapeutic options for the prevention and treatment of various illnesses.

Coumarins are oxygenated heterocyclic polyphenolic chemicals widely found in the plant kingdom. Approximately 1300 chemotypes have been identified as secondary metabolites in plants, microbes, and fungi. Typically, coumarins are found in a free state in plants due to their polar structure, and they display blue fluorescence upon ultraviolet light absorption. In addition to the favorable pharmacological profile.The semisynthetic and synthetic yields of natural compounds demonstrated numerous biological applications. Oxygen-containing heterocycles are essential in the creation of innovative molecular structures for therapeutic purposes.

Synthetic organic chemists are highly focused on enhancing coumarin hybrids within heterocyclic molecules because of the compounds' remarkable biological, physical, and chemical properties upon integration. There exists a synergistic effect between the bioactivities of the coumarin ring and its fused structure . These compounds serve as foundational components in the synthesis of various therapeutically beneficial substances. Various chemical combinations with coumarin may yield identical or distinct effects, even at differing intensities.

The antioxidant properties of the coumarin nucleus can be utilized in the development of novel hybrid compounds with improved antioxidant efficacy.

For many years, new medications have been found using the "one-disease, one-target, one-drug" paradigm. On the other hand, this technique doesn't work in complex multifactorial instances, therefore doctors end up treating individuals who are resistant with a mix of medications.

Figure 1. Chemical structure of coumarin.

The Michael reaction defines as nucleophilic addition of a Michael donor to an activated α,β-unsaturated carbonyl molecule, known as the Michael acceptor, and is generally catalyzed by a base.The reactions can be classified according to the charge of the nucleophilic reactants, which may be (a) negatively charged (e.g., OH−, RS−, CN−) or (b) neutral (e.g., amines, thiols). Both types of nucleophiles can be introduced to protonated or non-protonated α,β-unsaturated enones. The general mechanisms of the addition of deprotonated (path A) and neutral (path B) nucleophiles onto non-protonated chalcones are shown in Figure 2.

Consequently, thia-Michael addition constitutes a significant transformation that, in addition to its diverse uses in synthetic organic chemistry, is essential in biosynthesis and the production of bioactive chemicals.

Because of this, molecular hybridisation is an essential tool for the development of novel therapeutics for a variety of complex diseases . Because of their capacity to imitate the effects of vitamin E, coumarin -β-thiocarbonyl derivatives which possess a great antioxidant potential are a preferred alternative to natural antioxidant supplies.

Figure 2. General mechanisms of the Michael addition reaction of nucleophiles onto the activated double bonds of chalcones.

Methods

All compounds utilized in this investigation exhibited great purity, ranging from 99% to 99.9%, and were procured from BDH, Merck AG, and Thomas Baker. Melting points were measured utilizing an electrothermal melting point instrument (SMP30). The 1H NMR and 13C NMR spectra were obtained using a Bruker spectrometer (Bruker, Switzerland), with DMSO-d₆ and CDCl₃ as solvents. Tetramethyl silane was utilized as the internal standard. The electron ionization mass spectra (EI-MS) of the synthesized compounds were collected at the Faculty of Chemistry, University of Tehran.

Chemical synthesis

Synthesis of 3-Acetyl -7-methoxy Coumarin

In 50 mL round bottom flask, ethyl acetoacetate (0.026 mol, 3 mL, 3.06 g), with 2-methoxy-4-hydroxy benzaldehyde (0.028 mol, 3 mL, 3.5 g), in the presence dimethyl amine (15 drop) as catalyst was added drop by drop, with continues stirred at room temperature for 24 hrs. A yellow precipitation formative. Re-crystallization with ethanol to form a fine needle with bright-yellow color The yield of product was (1.8 g, 52%), the melting point was (168-170) oC. The step in the reaction is shown below in the scheme (1).

Figure 3. Synthesis of 3-acetyl-7-methoxyCoumarin-Chalcone derivatives General procedure.

3-Acetyl-7-methoxy-2H-chromen-2-one (0.44 g, 2.0 mmol) and unsubstituted or substituted benzaldehyde (2.0 mmol) were dissolved in 25 mL of DCM and to this solution 0.5 mL of piperidine were added. The mixture was kept at reflux Temperature, monitoring the reaction by TLC for 10 hrs. The solution was concentrated under reduced pressure and dissolved in small aliquot of DCM and then MeOH was added in excess to induce precipitation. This procedure was performed twice.

Figure 4. The general method for the chemical synthesis of coumarin-Chalcone derivatives (2-6).

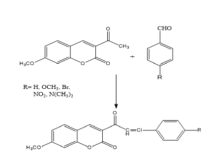
General methods for Synthesis of new coumarin- β-thiocarbonyl derivatives (7-11).

Firstly take and poured (1.43 mmol) of thiophenol and then add 20ml of De-ionized water with continuous strring after that add (0.715 mmol – 0.1 ml) of triethylamine by dropping it very slowly until the solution be clear , then take round conical flask at which the solution of coumarin-chalcone derivatives (1.43mmol) in dissolved in 5ml of DCM are added, then the first clear solution of thiophenol will be dropped very slowly on the solution of dissolved coumarin – chalcone derivatives with continuous strring at room temperature for over than 24hrs with monitoring the reaction by TLC plate and the eluent n-hexane : ethyl acetate (90-10) , solid product will be precipitate on the magnetic bar which washed with diethylether and then recrystallized by using methanol or ethanol ,, The IUPAC name, molecular formulae , molecular weight , yielded (%), melting point, appearance and reaction time of coumarin -β-thiocarbonyl derivatives

Five compounds of coumarin- β -thiocarbonyl will be synthesis from the reaction of five coumarin –chalcone which they synthesis in the step 2 as shown in scheme (2) with thiophenol in the presence of triethylamine as catalyst as shown below in scheme (3).

Figure 5. Chemical synthesis of new coumarin-β- thiocarbonyl derivatives ( 7 -1 1 ).

The IUPAC name, molecular formulae and molecular weight of coumarin -β-thiocarbonyl derivatives are shown in table (1).

CPD. IUPAC Name Molecular Weight Molecular Formula Yield (%) Melting Point (°C) Appearance Reaction Time (hrs.)
7 7-methoxy-3-(3-phenyl-3-(phenylthio)propanoyl)-2H-chromen-2-one 416 C₂₅H₂₀O₄S 45.89 138.5–140 Yellow 48
8 3-(3-(4-bromophenyl)-3-(phenylthio)propanoyl)-7-methoxy-2H-chromen-2-one 455 C₂₆H₂₂O₅S 38.84 183–184 Pale Yellow 48
9 7-methoxy-3-(3-(4-methoxyphenyl)-3-(phenylthio)propanoyl)-2H-chromen-2-one 495 C₂₅H₁₉O₄S 48.73 155–156.5 Chrome Yellow 48
10 7-methoxy-3-(3-(4-nitrophenyl)-3-(phenylthio)propanoyl)-2H-chromen-2-one 461 C₂₅H₁₉NO₆S 39.66 168–169 Gold Yellow 48
11 3-(3-(4-(dimethylamino)phenyl)-3-(phenylthio)propanoyl)-7-methoxy-2H-chromen-2-one 460 C₂₇H₂₅NO₄S 26.09 243.5–245 Dark Red 72
Table 1. The IUPAC name, molecular weight, molecular formula , yielded (%), melting point, appearance and reaction time of coumarin -β-thiocarbonyl (7-11).

Results and discussion

Mass spectrometry

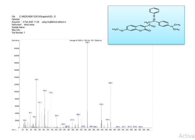
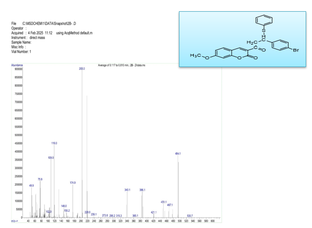
The mass spectra of the produced compounds are illustrated in Figures 3–7. The experimental m/z values presented in Table 2 exhibit remarkable concordance with the calculated values, thereby validating the successful synthesis of the target molecules ,. Displayed in the figures. 14 – 19.

Comp. Molecular weight Molecular ions M.+
7 416 416.3
8 446 446.2
9 495 494.1
10 461 461.1
11 460 459.2
Table 2. Mass Spectrum of Synthesized Compounds (7-11).

Figure 6. The Electron Ionizing Mass Spectrum of Compound (7).

Figure 7. The Electron Ionizing Mass Spectrum of Compound (8).

Figure 8. The Electron Ionizing Mass Spectrum of Compound (9)

Figure 9. The Electron Ionizing Mass Spectrum of Compound (10)

Figure 10. The Electron Ionizing Mass Spectrum of Compound (11)

¹3C-NMR spectra of coumarin -β-thiocarbonyl derivatives 711

The 13C nuclear magnetic resonance (NMR) spectra of the synthesized coumarin–β-thio carbonyl derivatives presented signals at about 41ppm and 49ppm, ascribed to the development of the β-thiophenol (CH–S) atom, corresponding to C11 and C10 respectively ,.

Furthermore, two peaks at 195.5 and 159.7 ppm. The signals correspond to the ketone carbonyl (C=O) of the acetyl (-COCH2) group and the lactone carbonyl (C=O), respectively.Also in all synthesized compounds two signals at 165 ppm and 56 ppm are attributed to the carbon attached with methoxy group at position C7 and the methoxy C-7a respectively . as shown in figures (8-12).

The results are similar to those obtained by the other analogous heteroaryl thio-carbonyl systems.

Figure 11. 13C NMR spectrum of compound 7.

Figure 12. 13C NMR spectrum of compound 8.

Figure 13. 13C NMR spectrum of compound 9.

Figure 14. 13C NMR spectrum of compound 10.

Figure 15. 13C NMR spectrum of compound 11.

¹H- NMR spectra of coumarin - β -thiocarbonyl derivatives 2–6

The 1H NMR spectra of Synthesized coumarin -β-thiocarbonyl derivatives indicate a clear doublet of doublet in the range of 3.50-3.75 ppm with constant J coupling close to 20.4 Hz for geminal coupling and 6.4 Hz for vicinal coupling which attributed for the two proton at the position C-10 ,additionally triplet signal will present with constant J coupling 14.4 Hz which corresponding to single proton of methylene that attached to sulfur atom at the position C-11.The 1H-NMR spectrum of the five of the synthesized coumarin-beta-thiocarbonyl derivatives as shown in (table 3 and figures 13-17)bear characteristic pattern that is in-line with their speculated structure. In every compound there will be numerous aromatic proton peaks in the downfield area (6.9-8.2 ppm) which is a bearer of a substituted benzene ring of both the coumarin and 1- beta thiocarbonyl. Normally these signals develop as multiplets or doublets due to coupling of spin-spin and as the result of substituted pattern and symmetry of aromatic system and therefore indicate successful synthesis of the designed compounds and their maintained structural integrity.

Comp. Chemical shift
C4 C11 C10 C-7a R Aromatic protons
7 8.30 (s,1H) 4.80-4.84 J=14.4Hz (t,1H) 3.63-3.69 J1=18.2 J2=6.8 (dd,2H) 3.81 (s,3H) - 7.10-7.49 (m,10H)
8 8.30 (s,1H) 4.80-4.84 J=14.4Hz (t,1H) 3.63-3.69 J1=18.2 J2=6.8 (dd,2H) 3.81 (s,3H) 3.85 (s,3H) 7.10-7.49 (m,10H)
9 8.40 (s,1H) 4.26-4.28 J=13.6Hz (t,1H) 3.69-3.76 J1=18.2 J2=6.8 (dd,2H) 3.83 (s,3H) - 7.09-7.41 (m,9H)
10 8.51 (s,1H) 4.10-4.14 J=14.4Hz (t,1H) 3.50-3.56 J1=18.2 J2=6.8 (dd,2H) 3.93 (s,3H) - 7.20-7.49 (m,19H)
11 8.51 (s,1H) 4.30-4.39 J=14.4Hz (t,1H) 3.61-3.66 J1=18.2 J2=6.8 (dd,2H) 3.90 (s,3H) 3.01 (s,3H) N-(CH3)2 7.19-7.55 (m,9H)
Table 3. ¹H-NMR spectra of coumarin -β-thiocarbonyl derivatives 7–11

Figure 16. ¹H-NMR spectra of compound 7

Figure 17. ¹H-NMR spectra of compound 8

Figure 18. ¹H-NMR spectra of compound 9

Figure 19. ¹H-NMR spectra of compound 10

Figure 20. ¹H-NMR spectra of compound 11

3.4 Antioxidant evaluation of coumarin -β-thiocarbonylderivatives 7–11

Investigating the in vitro antioxidant activity of coumarin-β-thiocarbonyl

derivatives 7-11 by the DPPH (2,2-diphenyl-1-picrylhydrazyl) free radical scavenging experiment. A methanolic solution of DPPH was formulated at a concentration of 16 μm/mL. Each coumarin-β-thiocarbonylcomplex was dissolved in methanol to create a series of concentrations: 1, 10, 25, 50, and 100 μM. For each assay, 1 mL of the DPPH solution was combined with 1 mL of the chemical solution, and the mixtures were incubated in darkness at ambient temperature for 30 minutes to facilitate a full reaction. The antioxidant induces a transformation of the DPPH purple hue to yellow by reducing absorptivity by electron donation. The reduction in DPPH absorption at 517 nm signifies the efficacy of the investigated compounds in scavenging free radicals (109). Ascorbic acid served as a typical antioxidant. It was evaluated under identical settings and at equivalent concentrations. The equation (1.1) computes the radical scavenging activity expressed as a percentage of scavenging activity.

DPPH radical scavenging activity (%) = [(AControl – ASample)/AControl] × 100…. (1)

Where, A Control is the absorbance of the control (containing all the reagents except the sample) and As is the absorbance of the DPPH after 30 minutes in the presence of coumarin-β-thiocarbonyl7-11 .

The results for the compounds are shown in Table 4 and Fig. 18(A and B).

compounds IC50 (μM) R
M7 70.80 H
M8 27.53 OCH3
M9 47.84 Br
M10 34.55 NO2
M11 17.89 N(CH3)2
Vit.C (ascorbic acid) 23.04 -
Table 4. The IC50 values of coumarin-β-thiocarbonyl derivatives (7–11) against DPPH.

Figure 21. Figure (18A) the percentage of DPPH radical inhibition by coumarin-β-thiocarbonyl derivatives (7–11) at five different concentrations.

Figure 22. Figure. 18B. The effect of different concentrations of coumarin-β-thiocarbonyl derivatives 7–11 on the percentage of DPPH remaining.

Conclusion

All compounds shown dose-dependent antioxidant activity according to biological evaluation using the DPPH assay; compound 11 shown the maximum activity, same to vitamin C. Extensive conjugation and electron-donating groups seem to improve radical-scavenging capacity. These results support the structural integrity and expected antioxidant capacity of the produced compounds.

Acknowledgement

Thanks to everyone who supported and guided me during this research.

References

[1] S. Di Meo and P. Venditti, “Evolution of the Knowledge of Free Radicals and Other Oxidants,” Oxidative Medicine and Cellular Longevity, vol. 2020, no. 1, p. 9829176, 2020.

[2] R. L. Siegel, K. D. Miller, and A. Jemal, “Cancer Statistics, 2015,” CA: A Cancer Journal for Clinicians, vol. 65, no. 1, pp. 5–29, 2015.

[3] A. Jemal et al., “Global Cancer Statistics,” CA: A Cancer Journal for Clinicians, vol. 61, no. 2, pp. 69–90, 2011.

[4] M. A. Salem et al., “An Overview on Synthetic Strategies to Coumarins,” Synthetic Communications, vol. 48, no. 13, pp. 1534–1550, 2018.

[5] M. A. Salem et al., “An Overview on Synthetic Strategies to Coumarins,” Synthetic Communications, vol. 48, no. 13, pp. 1534–1550, 2018.

[6] M. A. A. Sanaryh, L. A. Raheem, and A. J. Ausama, “Synthesis and Pharmacological Evaluation of Novel Coumarin Derivatives,” International Journal of Research in Pharmaceutical Sciences, vol. 11, no. 1, pp. 865–874, 2020.

[7] F. Annunziata et al., “An Overview of Coumarin as a Versatile and Readily Accessible Scaffold With Broad-Ranging Biological Activities,” International Journal of Molecular Sciences, vol. 21, no. 13, p. 4618, 2020.

[8] M. H. Ahmed et al., “Design, Synthesis, and Biological Evaluation of Novel Pyrazole, Oxazole, and Pyridine Derivatives as Potential Anticancer Agents Using Mixed Chalcone,” Journal of Heterocyclic Chemistry, vol. 56, no. 1, pp. 114–123, 2019.

[9] B. S. Jayashree, S. Nigam, A. Pai, and P. V. R. Chowdary, “Overview on the Recently Developed Coumarinyl Heterocycles as Useful Therapeutic Agents,” Arabian Journal of Chemistry, vol. 7, no. 6, pp. 885–899, 2014.

[10] G. Patel and S. Banerjee, “Review on Synthesis of Bio-Active Coumarin-Fused Heterocyclic Molecules,” Current Organic Chemistry, vol. 24, no. 22, pp. 2566–2587, 2020.

[11] L. O. A. Ferreira et al., “Michael Addition Reaction of Symmetrically Halogenated Bischalcones With Reduced Glutathione Assessed by RP-HPLC and RP-HPLC-ESI-MS,” Microchemical Journal, vol. 169, p. 106603, 2021.

[12] E. K. Akkol et al., “Coumarins and Coumarin-Related Compounds in Pharmacotherapy of Cancer,” Cancers, vol. 12, no. 7, pp. 1–25, 2020.

[13] A. Lacy and R. O’Kennedy, “Studies on Coumarins and Coumarin-Related Compounds to Determine Their Therapeutic Role in the Treatment of Cancer,” Current Pharmaceutical Design, vol. 10, no. 30, pp. 3797–3811, 2004.

[14] J. Sharifi-Rad et al., “Natural Coumarins: Exploring the Pharmacological Complexity and Underlying Molecular Mechanisms,” Oxidative Medicine and Cellular Longevity, vol. 2021, no. 1, p. 6492346, 2021.

[15] I. T. Tchoupou et al., “An Overview of the Synthesis of Coumarins via Knoevenagel Condensation and Their Biological Properties,” Results in Chemistry, vol. 2025, p. 102181, 2025.

[16] G. Moya-Alvarado et al., “Coumarin-Chalcone Hybrids as Inhibitors of MAO-B: Biological Activity and In Silico Studies,” Molecules, vol. 26, no. 9, p. 2430, 2021.

[17] G. L. Khatik, R. Kumar, and A. K. Chakraborti, “Catalyst-Free Conjugated Addition of Thiols to α,β-Unsaturated Carbonyl Compounds in Water,” Organic Letters, vol. 8, no. 11, pp. 2433–2436, 2006.

[18] J. M. Offenbacher, Importance of the α,β-Unsaturated Ketone in Methuosis-Inducing Compounds. Toledo, OH, USA: University of Toledo, 2015.

[19] A. A. Ghoneim, R. M. Elbargisy, and A. Manoer, “Design and Synthesis of Heterocyclic Compounds From 1,4-Diacetylbenzene With Expected Antimicrobial Activity,” Egyptian Journal of Chemistry, vol. 63, no. 8, pp. 2901–2910, 2020.

[20] P. S. Dube et al., “Easily Accessed Nitroquinolones Exhibiting Potent and Selective Anti-Tubercular Activity,” European Journal of Medicinal Chemistry, vol. 213, p. 113207, 2021.

[21] C. M. Hu et al., “Synthesis and Evaluation of Coumarin-Chalcone Derivatives as α-Glucosidase Inhibitors,” Frontiers in Chemistry, vol. 10, p. 926543, 2022.

[22] D. Fan et al., “Cobalt-Catalyzed Cascade C–H Activation/Annulation Polymerizations Toward Diversified and Multifunctional Sulfur-Containing Fused Heterocyclic Polymers,” Journal of the American Chemical Society, vol. 146, no. 25, pp. 17270–17284, 2024.

[23] Y. Yang, R. Hu, and B. Z. Tang, “Exploration of Poly(thiazole-2-thione) Structures From Multicomponent Polymerizations of Elemental Sulfur, Dichalcones, and Diisocyanides,” Macromolecules, vol. 58, 2025.

[24] P. Singh, J. S. Negi, G. J. Pant, and M. S. M. Rawat, “5-(3-Nitrophenyl)-3-Phenyl-4,5-Dihydro-1H-Pyrazole-1-Carbaldehyde,” Molbank, vol. 2010, no. 1, p. M650, 2010.

[25] Y. Wang, W. Zhang, J. Dong, and J. Gao, “Design, Synthesis and Bioactivity Evaluation of Coumarin-Chalcone Hybrids as Potential Anticancer Agents,” Bioorganic Chemistry, vol. 95, p. 103530, 2020.

[26] J. L. Hu, M. X. Fu, J. C. Xiao, and J. H. Lin, “Thiocarbonyl Fluoride Generated In Situ From Difluorocarbene for Cyclization of Vicinal XH-Substituted Amines (X = N, O, or S),” Journal of Fluorine Chemistry, vol. 272, p. 110212, 2023.

[27] D. H. Shi et al., “Synthesis, Characterization, Crystal Structure and Evaluation of Four Carbazole–Coumarin Hybrids as Multifunctional Agents for the Treatment of Alzheimer’s Disease,” Journal of Molecular Structure, vol. 1209, p. 127897, 2020.

[28] A. Z. Al-Saffar et al., “Phytochemical Analysis, Antioxidant and Cytotoxic Potentials of Pelargonium graveolens Extract in Human Breast Adenocarcinoma (MCF-7) Cell Line,” Asian Journal of Biochemistry, vol. 12, no. 1, pp. 16–26, 2017.